Jatim Punya Desa Mandiri Terbanyak se-RI, Jumlah Orang Miskin juga Terbanyak!

Reporter : -
Jatim Punya Desa Mandiri Terbanyak se-RI, Jumlah Orang Miskin juga Terbanyak!
JATIM TERBANYAK: Jumlah orang miskin di Jatim masih tertinggi se-Indonesia per Maret 2025. | Sumber: BPS Jatim

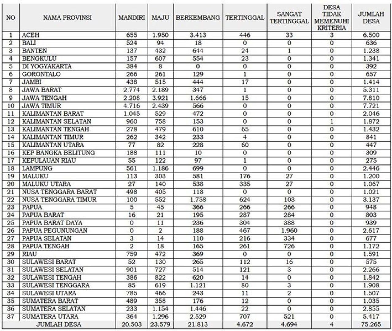
SURABAYA | Barometer Jatim – Jawa Timur menempati peringkat pertama nasional sebagai provinsi dengan jumlah desa mandiri terbanyak di Indonesia, yakni 4.716.

Hal itu berdasarkan Keputusan Menteri Desa, Pembangunan Daerah Tertinggal dan Transmigrasi (Mendes PDTT) Nomor 343 Tahun 2025 tentang Status Kemajuan dan Kemandirian Desa Tahun 2025.

Namun bagi eks anggota DPRD Jatim, Mathur Husyairi, status itu tidak berbanding lurus dengan jumlah kemiskinan di Jatim yang justru tertinggi di Indonesia dengan disparitas perdesaan di atas perkotaan.

“Makanya ini sangat bertolak belakang. Ketika Jatim punya sekian banyak desa mandiri tapi kemudian angka kemiskinannya justru tinggi, ini persoalan tersendiri,” katanya, Selasa (21/10/2025).

Merujuk data Badan Pusat Statistik (BPS), jumlah penduduk miskin di Jatim masih 3.875.880 jiwa atau 9,50 persen dari total penduduk per Maret 2025. Angka tersebut sekaligus menempatkan Jatim sebagai provinsi dengan jumlah orang miskin terbanyak di Indonesia.

Di bawah Jatim menyusul Jawa Barat (3.654.740) dan Jawa Tengah (3.366.690). Melengkapi 10 besar provinsi dengan jumlah penduduk miskin terbanyak, yakni Sumatera Utara (1.140.250), Nusa Tenggara Timur (1.088.780), Sumatera Selatan (919.600), Lampung (887.020), Banten (772.780), Aceh (704.690) dan Sulawesi Selatan (698.130).

Secara wilayah, kemiskinan perkotaan di Jatim sebanyak 1,641 juta (7 persen) dan kemiskinan perdesaan sebanyak 2,234 juta (12,86 persen).

JANGAN CUMA STATUS: Mathur Husyairi, desa mandiri di Jatim terbanyak jangan cuma status. | Foto: Barometerjatim.com/RQJANGAN CUMA STATUS: Mathur Husyairi, desa mandiri di Jatim terbanyak jangan cuma status. | Foto: Barometerjatim.com/RQ

“Kenapa kemiskinan itu ada di desa, padahal desa mandirinya tinggi, nah ini yang perlu kita kritisi. Jangan-jangan Pemprov Jatim hanya suka membuat status desa mandiri, tapi lupa bagaimana menciptakan desa yang benar-benar bisa mengurangi angka kemiskinan,” ujarnya.

Apalagi, Mathur memandang Pemprov tidak punya perencanaan yang terukur untuk mengentas kemiskinan di Jatim.

“Sejak awal waktu saya di Komisi E DPRD Jatim, dari dulu kan sering saya mengatakan bahwa Pemprov Jatim ini tidak punya perencanaan terkait pengentasan kemiskinan,” katanya.

“Jadi persoalan ini, bermula dari tidak adanya data yang valid by name by address by NIK yang dimiliki Pemprov Jatim. Kita jangan mau ngikuti alur BPS, kita buat perencanaan sendiri, laksanakan sendiri, evaluasi sendiri, dan hitung sendiri hasil dari program itu,” sambungnya.

Mathur mengkritisi Pemprov agar membuat program kemiskinan yang terukur dan terencana dengan baik, mumpung Gubernur Khofifah Indar Parawansa masih punya waktu panjang empat tahun ke depan.

DESA MANDIRI: Jumlah desa mandiri berdasarkan Keputusan Mendes PDTT Nomor 343 Tahun 2025. | Foto: SKDESA MANDIRI: Jumlah desa mandiri berdasarkan Keputusan Mendes PDTT Nomor 343 Tahun 2025. | Foto: SK

“Jangan hanya bangga ketika BPS bilang angka kemiskinan turun, tapi nanti marah-marah ketika BPS mengatakan angka kemiskinan tinggi,” sindirnya.

Sebelumnya, Khofifah menyampaikan apresiasi terhadap kerja keras seluruh elemen masyarakat desa, pemerintah kabupaten/kota, serta pendamping desa yang telah bersinergi dalam mendorong kemandirian desa.

Saat ini di seluruh Indonesia tercatat sebanyak 20.503 desa mandiri, 23.579 desa maju, 21.813 desa berkembang, 4.672 desa tertinggal, dan 4.694 desa sangat tertinggal. Dengan raihan 4.716 desa mandiri, Jatim memberikan kontribusi signifikan terhadap kemajuan desa di Indonesia.

Alhamdulillah, Jatim peringkat pertama nasional sebagai provinsi dengan jumlah desa mandiri terbanyak di Indonesia. Secara nasional sebanyak 23 persen desa mandiri berada di Jatim,” ucap Khofifah di Gedung Negara Grahadi Surabaya, Senin (20/10/2025).

“Kami percaya bahwa pembangunan desa harus menyentuh aspek yang paling mendasar dan berkelanjutan. Mulai dari peningkatan kapasitas masyarakat, penguatan ekonomi berbasis potensi lokal, hingga pelayanan kesehatan dan kelestarian lingkungan, semua menjadi prioritas kami dalam mewujudkan desa yang mandiri dan sejahtera,” ucapnya.{*}

| Baca berita Kemiskinan. Baca tulisan terukur Rofiq Kurdi | Barometer Jatim - Terukur Bicara Jawa Timur

Simak berita terukur barometerjatim.com di Google News.